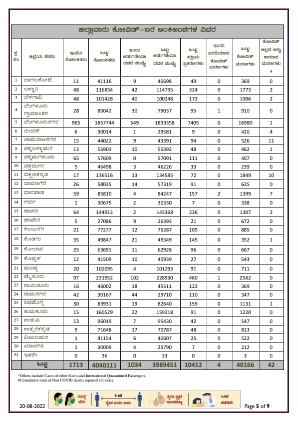
ಬೆಂಗಳೂರು: ರಾಜ್ಯದಲ್ಲಿ ಇಂದು ಒಟ್ಟು 1,713 ಪಾಸಿಟಿವ್ ಪ್ರಕರಣ ಮತ್ತು 4 ಮರಣ ಪ್ರಕರಣ ದಾಖಲಾಗಿದೆ. ಈ ಮೂಲಕ ನಿನ್ನೆಗಿಂತ ಇಂದು ಪಾಸಿಟಿವ್ ಕೇಸ್ಗಳ ಸಂಖ್ಯೆ ಏರಿಕೆ ಕಂಡಿದೆ.

ರಾಜ್ಯದಲ್ಲಿ ಕೊರೊನಾ ಏರಿಳಿತದ ನಡುವೆ ಒಟ್ಟು ಸಕ್ರಿಯ ಪ್ರಕರಣಗಳ ಸಂಖ್ಯೆ 10,452ಕ್ಕೆ ತಲುಪಿದೆ. ಬೆಂಗಳೂರು ನಗರದಲ್ಲಿ ಇಂದು 965 ಪ್ರಕರಣ ದಾಖಲಾಗಿದೆ. ಜಿಲ್ಲೆಗಳ ಪೈಕಿ ಮೈಸೂರಿನಲ್ಲಿ ದಾಖಲಾದ 97 ಕೇಸ್ ಹೆಚ್ಚಿನ ಕೇಸ್ ಆಗಿದೆ. ಮೈಸೂರು ದಸರಾ ಸಮೀಪಿಸುತ್ತಿದ್ದಂತೆ ಪಾಸಿಟಿವ್ ಕೇಸ್ಗಳ ಸಂಖ್ಯೆ ಏರಿಕೆ ಕಾಣುತ್ತಿರುವುದು ಆತಂಕ ಮೂಡಿಸಿದೆ. ಇಂದು ಬೆಂಗಳೂರು ಗ್ರಾಮಾಂತರ ಮತ್ತು ಮೈಸೂರಿನಲ್ಲಿ ತಲಾ 1 ಮತ್ತು ಧಾರವಾಡದಲ್ಲಿ 2 ಸೇರಿ ಒಟ್ಟು 4 ಮರಣ ಪ್ರಕರಣ ದಾಖಲಾಗಿದೆ. ಈವರೆಗೆ ಒಟ್ಟು 40,166 ಮಂದಿ ಕೊರೊನಾಗೆ ಮೃತಪಟ್ಟಿದ್ದಾರೆ. ಇಂದು ರಾಜ್ಯದಲ್ಲಿ 1,034 ಮಂದಿ ಗುಣಮುಖರಾಗಿ ವಿವಿಧ ಆಸ್ಪತ್ರೆಯಿಂದ ಡಿಸ್ಚಾರ್ಜ್ ಆಗಿದ್ದಾರೆ. ಇಂದು ಪಾಸಿಟಿವಿಟಿ ರೇಟ್ ಶೇ.5.33ಕ್ಕೆ ತಲುಪಿದೆ. ಇದನ್ನೂ ಓದಿ: ಸಿದ್ದರಾಮಯ್ಯ ಸಿಎಂ ಆಗಿದ್ದಾಗ ಸಾವರ್ಕರ್ ಪಾರ್ಕ್ ನಿರ್ಮಾಣ – ಸ್ವಾತಂತ್ರ್ಯ ಸೇನಾನಿ ಎಂದು ಒಪ್ಪಿದ್ದ ಕಾಂಗ್ರೆಸ್ಸಿಗರು

ಈವರೆಗೆ ರಾಜ್ಯದಲ್ಲಿ ಒಟ್ಟು 40,40,111 ಮಂದಿಗೆ ಕೊರೊನಾ ಬಂದಿದೆ. ಒಟ್ಟು 39,89,451 ಮಂದಿ ಈವರೆಗೆ ಆಸ್ಪತ್ರೆಯಿಂದ ಬಿಡುಗಡೆ ಹೊಂದಿದ್ದಾರೆ. ರಾಜ್ಯದಲ್ಲಿ ಇಂದು ಒಟ್ಟು 62,778 ಮಂದಿಗೆ ಕೊರೊನಾ ಲಸಿಕೆ ನೀಡಲಾಗಿದೆ. ಒಟ್ಟು 32,130 ಸ್ಯಾಂಪಲ್ (ಆರ್ಟಿಪಿಸಿಆರ್ 24,312 + 7,818 ರ್ಯಾಪಿಡ್ ಆಂಟಿಜನ್)ಗಳನ್ನು ಕೊರೊನಾ ಪರೀಕ್ಷೆಗೆ ಒಳಪಡಿಸಲಾಗಿದೆ. ಇದನ್ನೂ ಓದಿ: ಸಿದ್ದರಾಮಯ್ಯಗೆ ಡಿಕೆಶಿಯವರೇ ಮೊಟ್ಟೆ ಹೊಡೆಸಿರಬೇಕು: ಕಟೀಲ್

ಆರೋಗ್ಯ ಇಲಾಖೆಯ ಬುಲೆಟಿನ್ ಪ್ರಕಾರ ಬಾಗಲಕೋಟೆ 11, ಬಳ್ಳಾರಿ 48, ಬೆಳಗಾವಿ 48, ಬೆಂಗಳೂರು ಗ್ರಾಮಾಂತರ 28, ಬೆಂಗಳೂರು ನಗರ 965, ಬೀದರ್ 6, ಚಾಮರಾಜನಗರ 15, ಚಿಕ್ಕಬಳ್ಳಾಪುರ 13, ಚಿಕ್ಕಮಗಳೂರು 65, ಚಿತ್ರದುರ್ಗ 5, ದಕ್ಷಿಣ ಕನ್ನಡ 17, ದಾವಣಗೆರೆ 26, ಧಾರವಾಡ 59, ಗದಗ 1, ಹಾಸನ 64, ಹಾವೇರಿ 5, ಕಲಬುರಗಿ 21, ಕೊಡಗು 35, ಕೋಲಾರ 25, ಕೊಪ್ಪಳ 12, ಮಂಡ್ಯ 20, ಮೈಸೂರು 97, ರಾಯಚೂರು 16, ರಾಮನಗರ 42, ಶಿವಮೊಗ್ಗ 30, ತುಮಕೂರು 15, ಉಡುಪಿ 13, ಉತ್ತರ ಕನ್ನಡ 9, ವಿಜಯಪುರ ಮತ್ತು ಯಾದಗಿರಿಯಲ್ಲಿ ತಲಾ ಒಂದೊಂದು ಪಾಸಿಟಿವ್ ಪ್ರಕರಣ ದಾಖಲಾಗಿದೆ.
Live Tv
[brid partner=56869869 player=32851 video=960834 autoplay=true]

