Public TVPublic TV
  • Home
  • State
  • LIVE
  • Latest
  • Districts
    • Bagalkot
    • Belagavi
    • Ballari
    • Bengaluru City
    • Bengaluru Rural
    • Bidar
    • Chamarajanagar
    • Chikkamagaluru
    • Chikkaballapur
    • Chitradurga
    • Dakshina Kannada
    • Davanagere
    • Dharwad
    • Gadag
    • Hassan
    • Haveri
    • Kalaburagi
    • Kodagu
    • Kolar
    • Koppal
    • Mandya
    • Mysuru
    • Raichur
    • Ramanagara
    • Shivamogga
    • Tumakuru
    • Udupi
    • Uttara Kannada
    • Vijayapura
    • Yadgir
  • National
  • World
  • Cinema
    • Sandalwood
    • Bollywood
    • South cinema
    • TV Shows
  • Stories
  • Crime
  • Court
  • Sports
    • Cricket
    • Other Sports
  • Tech
    • Smartphones
    • Telecom
  • Automobile
  • Food
    • Veg
    • Non Veg
  • Videos
    • Big Bulletin
    • Entertainment Videos
    • News Videos
Reading: ಪಾಸಿಟಿವಿಟಿ ರೇಟ್ ಶೇ. 2.07ಕ್ಕೆ ಏರಿಕೆ – ಬೆಂಗ್ಳೂರಲ್ಲಿ 545 ಕೇಸ್
Share
Notification Show More
Font ResizerAa
Font ResizerAa
Public TVPublic TV
  • Home
  • State
  • LIVE
  • Latest
  • Districts
  • National
  • World
  • Cinema
  • Stories
  • Crime
  • Court
  • Sports
  • Tech
  • Automobile
  • Food
  • Videos
Search
  • Home
  • State
  • LIVE
  • Latest
  • Districts
    • Bagalkot
    • Belagavi
    • Ballari
    • Bengaluru City
    • Bengaluru Rural
    • Bidar
    • Chamarajanagar
    • Chikkamagaluru
    • Chikkaballapur
    • Chitradurga
    • Dakshina Kannada
    • Davanagere
    • Dharwad
    • Gadag
    • Hassan
    • Haveri
    • Kalaburagi
    • Kodagu
    • Kolar
    • Koppal
    • Mandya
    • Mysuru
    • Raichur
    • Ramanagara
    • Shivamogga
    • Tumakuru
    • Udupi
    • Uttara Kannada
    • Vijayapura
    • Yadgir
  • National
  • World
  • Cinema
    • Sandalwood
    • Bollywood
    • South cinema
    • TV Shows
  • Stories
  • Crime
  • Court
  • Sports
    • Cricket
    • Other Sports
  • Tech
    • Smartphones
    • Telecom
  • Automobile
  • Food
    • Veg
    • Non Veg
  • Videos
    • Big Bulletin
    • Entertainment Videos
    • News Videos
Follow US
  • Privacy Policy
  • CSR-Policy
  • Terms of Service
  • Complaints Redressal
  • Terms and Conditions
  • Contact
  • Election News

Home | Districts | Bengaluru City | ಪಾಸಿಟಿವಿಟಿ ರೇಟ್ ಶೇ. 2.07ಕ್ಕೆ ಏರಿಕೆ – ಬೆಂಗ್ಳೂರಲ್ಲಿ 545 ಕೇಸ್

Bengaluru City

ಪಾಸಿಟಿವಿಟಿ ರೇಟ್ ಶೇ. 2.07ಕ್ಕೆ ಏರಿಕೆ – ಬೆಂಗ್ಳೂರಲ್ಲಿ 545 ಕೇಸ್

Public TV
Last updated: June 11, 2022 9:20 pm
Public TV
Share
1 Min Read
CORONAVIRUS
SHARE

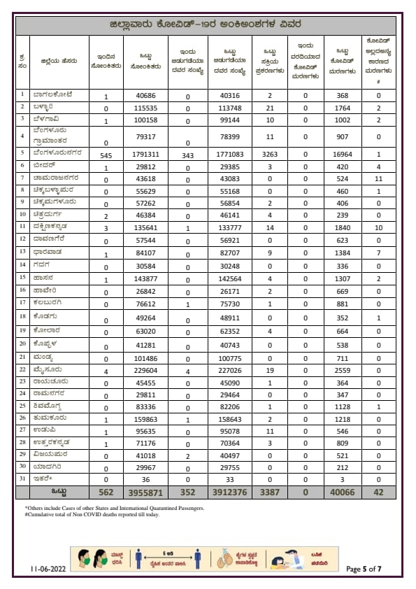
ಬೆಂಗಳೂರು: ರಾಜ್ಯದಲ್ಲಿ ಇಂದು ಒಟ್ಟು 562 ಕೊರೊನಾ ಪಾಸಿಟಿವ್ ಕೇಸ್ ದಾಖಲಾಗಿದೆ. ಇನ್ನೊಂದೆಡೆ ಬೆಂಗಳೂರು ನಗರದಲ್ಲಿ ಪಾಸಿಟಿವ್ ಕೇಸ್‍ಗಳ ಸಂಖ್ಯೆ ಐನೂರರ ಗಡಿ ದಾಟಿದೆ.

CORONA REPORT IN 11 06 2022.2

ಇಂದು ಬೆಂಗಳೂರು ನಗರದಲ್ಲಿ 545 ಕೇಸ್ ದಾಖಲಾಗಿದೆ. ಈ ಮೂಲಕ ಸಕ್ರಿಯ ಪ್ರಕರಣಗಳ ಸಂಖ್ಯೆ 3,263ಕ್ಕೆ ಏರಿಕೆ ಕಂಡಿದೆ. ಬೆಂಗಳೂರು ಹೊರತು ಪಡಿಸಿ ಮೈಸೂರಲ್ಲಿ ದಾಖಲಾದ 4 ಪ್ರಕರಣ ಜಿಲ್ಲೆಯಲ್ಲಿ ದಾಖಲಾದ ಹೆಚ್ಚಿನ ಕೇಸ್ ಆಗಿದೆ. ರಾಜ್ಯದ ಒಟ್ಟು ಸಕ್ರಿಯ ಪ್ರಕರಣಗಳ ಸಂಖ್ಯೆ 3,387ಕ್ಕೆ ತಲುಪಿದೆ. ರಾಜ್ಯದ ಇಂದಿನ ಪಾಸಿಟಿವಿಟಿ ರೇಟ್ ಶೇ. 2.07 ಏರಿಕೆ ಕಂಡಿದೆ. ಇದನ್ನೂ ಓದಿ: ಈದ್ಗಾ ಮೈದಾನದಲ್ಲಿ ಸಿಸಿಟಿವಿ ಅಳವಡಿಕೆ ಕಾಮಗಾರಿ – ಜೆಸಿಬಿಗೆ ಅಡ್ಡನಿಂತು ಸ್ಥಳೀಯರ ಹೈಡ್ರಾಮಾ

CORONA REPORT IN 11 06 2022.1

ಬೆಂಗಳೂರು ಹೊರತು ಪಡಿಸಿ ಉಳಿದಂತೆ 11 ಜಿಲ್ಲೆಗಳಲ್ಲಿ 17 ಕೇಸ್ ಮತ್ತು 18 ಜಿಲ್ಲೆಗಳಲ್ಲಿ ಶೂನ್ಯ ಪ್ರಕರಣ ದಾಖಲಾಗಿದೆ. ಇಂದು ಯಾವುದೇ ಮರಣ ಪ್ರಕರಣ ದಾಖಲಾಗಿಲ್ಲ. ಇಂದು 352 ಮಂದಿ ಗುಣಮುಖರಾಗಿ ವಿವಿಧ ಆಸ್ಪತ್ರೆಯಿಂದ ಡಿಸ್ಚಾರ್ಜ್ ಆಗಿದ್ದಾರೆ. ರಾಜ್ಯದಲ್ಲಿ ಈವರೆಗೆ ಒಟ್ಟು 40,066 ಮರಣ ಪ್ರಕರಣ ಪತ್ತೆಯಾಗಿದೆ. ಇದನ್ನೂ ಓದಿ: ಈಗಿನ ಶಿಕ್ಷಣದ ಹೊಸ ಟ್ರೆಂಡ್‌ ಏನು? – ಪಬ್ಲಿಕ್‌ ಟಿವಿ ʼವಿದ್ಯಾಪೀಠʼಕ್ಕೆ ಬನ್ನಿ ಮಾಹಿತಿ ಪಡೆಯಿರಿ

ಈವರೆಗೆ ರಾಜ್ಯದಲ್ಲಿ ಒಟ್ಟು 39,55,871 ಮಂದಿಗೆ ಕೊರೊನಾ ಬಂದಿದೆ. ಒಟ್ಟು 39,12,376 ಮಂದಿ ಈವರೆಗೆ ಆಸ್ಪತ್ರೆಯಿಂದ ಬಿಡುಗಡೆ ಹೊಂದಿದ್ದಾರೆ. ರಾಜ್ಯದಲ್ಲಿ ಇಂದು ಒಟ್ಟು 48,604 ಮಂದಿಗೆ ಕೊರೊನಾ ಲಸಿಕೆ ನೀಡಲಾಗಿದೆ. ಒಟ್ಟು 27,123 ಸ್ಯಾಂಪಲ್ (ಆರ್‌ಟಿಪಿಸಿಆರ್ 20,659 + 6,464 ರ್‍ಯಾಪಿಡ್ ಆಂಟಿಜನ್)ಗಳನ್ನು ಕೊರೊನಾ ಪರೀಕ್ಷೆಗೆ ಒಳಪಡಿಸಲಾಗಿದೆ.

CORONA REPORT IN 11 06 2022

ಆರೋಗ್ಯ ಇಲಾಖೆಯ ಬುಲೆಟಿನ್ ಪ್ರಕಾರ ಬೆಂಗಳೂರು ನಗರ 545, ಮೈಸೂರು 4, ದಕ್ಷಿಣಕನ್ನಡ 3, ಚಿತ್ರದುರ್ಗ 2, ಬಾಗಲಕೋಟೆ, ಬೆಳಗಾವಿ, ಬೀದರ್, ಧಾರವಾಡ, ಹಾಸನ, ತುಮಕೂರು, ಉಡುಪಿ ಮತ್ತು ಉತ್ತರಕನ್ನಡದಲ್ಲಿ ತಲಾ ಒಂದೊಂದು ಪ್ರಕರಣ ಸೇರಿ ಒಟ್ಟು 562 ಕೇಸ್ ವರದಿಯಾಗಿದೆ.

TAGGED:CoronaCorona VirusCovid 19karnatakaಕರ್ನಾಟಕಕೊರೊನಾಕೋವಿಡ್‌-19
Share This Article
Facebook Whatsapp Whatsapp Telegram

Cinema news

Monalisa
ಕುಂಭಮೇಳದ ವೈರಲ್ ಹುಡುಗಿ ಮೊನಾಲಿಸಾ ಈಗ ಗರ್ಭಿಣಿ
Cinema Latest Main Post National
Ranya Rao
ಇಂದಿಗೆ ಕಾಫಿಫೋಸಾ ಅವಧಿ ಅಂತ್ಯ – ಜೈಲಿನಿಂದ ರನ್ಯಾರಾವ್‌ ಬಿಡುಗಡೆ
Cinema Crime Karnataka Latest Main Post
ranya rao 2 1
ಗೋಲ್ಡ್ ಸ್ಮಗ್ಲಿಂಗ್ ಕೇಸ್ – ಇಂದು ರನ್ಯಾ ರಾವ್ ಜೈಲಿನಿಂದ ರಿಲೀಸ್
Bengaluru City Cinema Districts Karnataka Latest Top Stories
Duniya Vijay 1
ಝಾಂಬಿ ಡ್ರಗ್ಸ್ ಕೇಸಲ್ಲಿ ನಟ ದುನಿಯಾ ವಿಜಯ್‌ಗೆ ಸಂಕಷ್ಟ – ಡಿಲೀಟ್ ವಿಡಿಯೋ ರಿಟ್ರೀವ್‌ಗಾಗಿ ಇನ್‌ಸ್ಟಾಗೆ ಪೊಲೀಸರ ಪತ್ರ
Bengaluru City Cinema Districts Karnataka Latest Sandalwood Top Stories

You Might Also Like

Swati Maliwal Harbhajan Singh
Latest

ಚಡ್ಡಾ ಜೊತೆ ಆಪ್ ರಾಜ್ಯಸಭಾ ಸದಸ್ಯ, ಕ್ರಿಕೆಟಿಗ ಹರ್ಭಜನ್ ಸಿಂಗ್ ಬಿಜೆಪಿಗೆ

Public TV
By Public TV
11 minutes ago
siddaramaiah internal reservation
Bengaluru City

ಒಳಮೀಸಲಾತಿ ಬಗ್ಗೆ ಸಂಪುಟ ಸಭೆಯಲ್ಲಿ ಮಹತ್ವದ ನಿರ್ಣಯ; ದಲಿತ ಎಡಗೈಗೆ 5.25%, ಬಲಗೈಗೆ 5.25%, ಸ್ಪೃಶ್ಯರಿಗೆ 4.5% – ಒಟ್ಟು 15% ಮೀಸಲಾತಿ

Public TV
By Public TV
35 minutes ago
D.K. Shivakumar Rajnath Singh
Bengaluru City

ಬೆಂಗಳೂರಿನ ಪ್ರಗತಿಗೆ ಅಡ್ಡಿಯಾಗಿರುವ ಕಟ್ಟಡಗಳ ಎತ್ತರ ನಿರ್ಬಂಧ ಸಡಿಲಿಕೆಗೆ ಕೆಂದ್ರಕ್ಕೆ ಡಿಕೆಶಿ ಮನವಿ

Public TV
By Public TV
1 hour ago
Annabhagya Rice
Districts

ಜಮೀನಿನಲ್ಲಿ ಅಕ್ರಮವಾಗಿ ಸಂಗ್ರಹಿಸಿಟ್ಟಿದ್ದ 200 ಟನ್‌ ಅನ್ನಭಾಗ್ಯ ಅಕ್ಕಿ ಜಪ್ತಿ

Public TV
By Public TV
2 hours ago
sirsis Visually impaired sslc student
Latest

ಶಿರಸಿಯ ಅಂಧ ವಿದ್ಯಾರ್ಥಿನಿಗೆ ಸಿಕ್ತು ನ್ಯಾಯ – 84% ಅಂಕ ತೆಗೆದ್ರೂ ಫೇಲ್ ಮಾಡಿದ್ದ ಬೋರ್ಡ್

Public TV
By Public TV
2 hours ago
Raghav Chadha
Latest

ಎಎಪಿ ತೊರೆದು ಬಿಜೆಪಿ ಸೇರಿದ 7 ರಾಜ್ಯಸಭಾ ಸಂಸದರು

Public TV
By Public TV
3 hours ago

Public TVPublic TV
Follow US
© Public TV. Design Company - Knowtable. All Rights Reserved.
  • Privacy Policy
  • CSR-Policy
  • Terms of Service
  • Complaints Redressal
  • Terms and Conditions
  • Contact
  • Election News
Welcome Back!

Sign in to your account

Username or Email Address
Password

Lost your password?